• 首页
  • 教学研修
  • 走进天星
  • 图书增值
  • 电子图书试读
  • 读者服务
  • 购书平台

快速链接

  • 金考卷
  • 教材帮
  • 语文
  • 人教版
首页 > 图书增值 > 详情 >
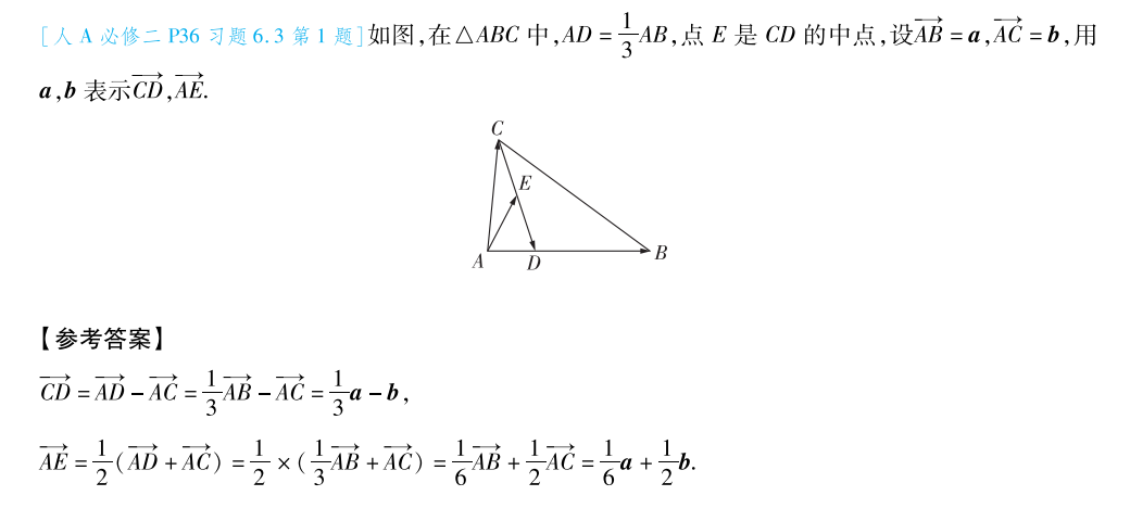
人A必修二P36习题6.3第1题
年级暂无 版本通用版 科目数学 大小52.53K 下载3次

相关资源
26版特快7期 英语 语篇话题拓展练习
年级 暂无 版本 通用版 科目 英语 大小 19.26K 下载 72次
26版7期物理高考链接详解
年级 暂无 版本 通用版 科目 物理 大小 397.06K 下载 6次
26版7期物理武汉调研第8题立体空间动态视频
年级 暂无 版本 通用版 科目 物理 大小 7.73M 下载 16次
高频主题素材-26版最后一卷-新高考语文
年级 暂无 版本 通用版 科目 语文 大小 663.19K 下载 38次
江西化学押题诊断卡8
年级 暂无 版本 江西版 科目 化学 大小 187.25K 下载 0次
江西化学押题诊断卡7
年级 暂无 版本 江西版 科目 化学 大小 187.62K 下载 0次
资源反馈
0/500

请务必上传相关问题图片(最多4张哦)

示例

集团介绍 | 企业文化 | 品牌实力 | 联系我们 | 版权声明 | 隐私政策
增值电信业务经营许可证:豫B2-20130009 互联网出版许可证:署网出证豫字第008号 豫B2-20130009-1
教育审批号:20120100300176 广播电视节目制作经营许可证(豫)字第00187号 豫公网安备 41019702002011号